![]() |
CCEX-1.0.0
|
This page provides an example of how to include an input file and a result plot in a Doxygen document.
The following is the content of the input file used for the simulation:
The following is the content of job file used for the simulation:
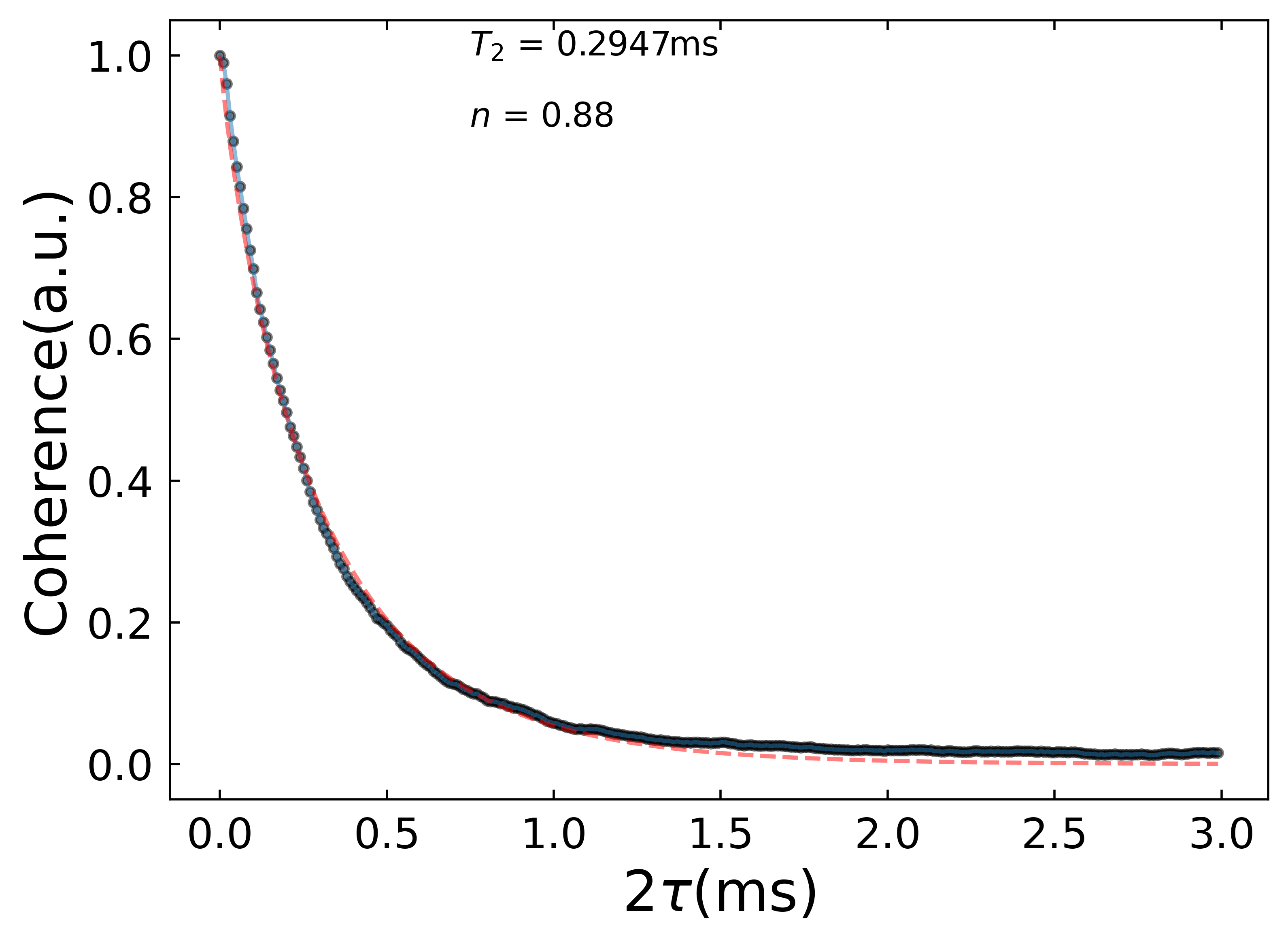
The following image shows the plot of the simulation results:

The plot demonstrates the relationship between the input parameters and the output results.